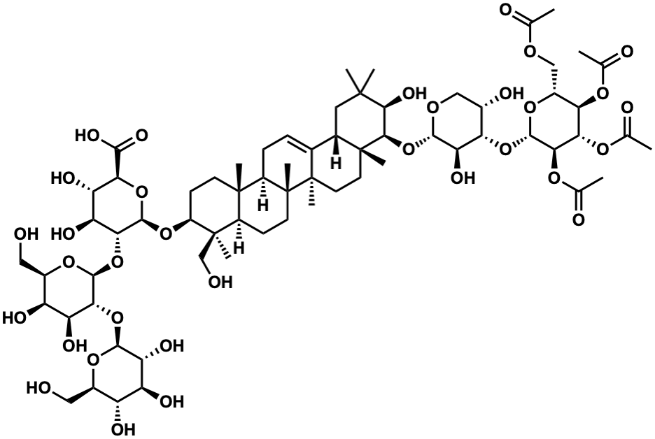
input word = C00054749

Metabolite InformationStructural formula
Name Acetylsoyasaponin A1
Formula C67H104O33
Mw 1436.64598585
CAS RN 118194-13-1
C_ID C00054749
InChIKey YZNCIXVBVQRGQN-YUTHWCJWSA-N
InChICode InChI=1S/C67H104O33/c1-26(71)87-24-35-48(89-27(2)72)52(90-28(3)73)53(91-29(4)74)61(94-35)96-47-32(75)23-88-57(46(47)83)100-55-54(84)62(5,6)20-31-30-12-13-37-64(8)16-15-38(65(9,25-70)36(64)14-17-67(37,11)66(30,10)19-18-63(31,55)7)95-60-51(44(81)43(80)49(97-60)56(85)86)99-59-50(42(79)40(77)34(22-69)93-59)98-58-45(82)41(78)39(76)33(21-68)92-58/h12,31-55,57-61,68-70,75-84H,13-25H2,1-11H3,(H,85,86)/t31-,32-,33+,34+,35+,36+,37+,38-,39+,40-,41-,42-,43-,44-,45+,46+,47-,48+,49-,50+,51+,52-,53+,54-,55+,57-,58-,59-,60+,61-,63+,64-,65+,66+,67+/m0/s1
SMILES CC(=O)OC[C@H]1O[C@@H](O[C@@H]2[C@@H](O)[C@H](O[C@@H]3[C@H](O)C(C)(C)C[C@H]4C5=CC[C@@H]6[C@@]7(C)CC[C@H](O[C@@H]8O[C@H](C(=O)O)[C@@H](O)[C@H](O)[C@H]8O[C@@H]8O[C@H](CO)[C@H](O)[C@H](O)[C@H]8O[C@@H]8O[C@H](CO)[C@@H](O)[C@H](O)[C@H]8O)[C@](C)(CO)[C@@H]7CC[C@@]6(C)[C@]5(C)CC[C@@]34C)OC[C@@H]2O)[C@H](OC(C)=O)[C@@H](OC(C)=O)[C@@H]1OC(C)=O
Start Substs in Alk. Biosynthesis (Prediction)
Organism
Kingdom Family Species Reference
PlantaeFabaceaeGlycine max Ref.
zoom in