input word = C00054737

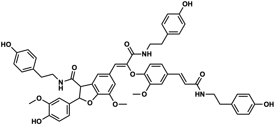
Metabolite InformationStructural formula
Name 8-O-4/8-5-Cyclic dehydrotriferuloyltyramine
Formula C54H53N3O12
Mw 935.36292418
CAS RN 1260102-08-6
C_ID C00054737
InChIKey QTIJKCBOJOGMOP-KEZLJVOESA-N
InChICode InChI=1S/C54H53N3O12/c1-65-45-32-38(12-19-43(45)61)51-50(54(64)57-27-24-35-8-17-41(60)18-9-35)42-28-37(30-47(67-3)52(42)69-51)31-48(53(63)56-26-23-34-6-15-40(59)16-7-34)68-44-20-10-36(29-46(44)66-2)11-21-49(62)55-25-22-33-4-13-39(58)14-5-33/h4-21,28-32,50-51,58-61H,22-27H2,1-3H3,(H,55,62)(H,56,63)(H,57,64)/b21-11+,48-31-
SMILES COc1cc(C2Oc3c(OC)cc(/C=C(Oc4ccc(/C=C/C(=O)NCCc5ccc(O)cc5)cc4OC)C(=O)NCCc4ccc(O)cc4)cc3C2C(=O)NCCc2ccc(O)cc2)ccc1O
Start Substs in Alk. Biosynthesis (Prediction)
Organism
Kingdom Family Species Reference
PlantaeSolanaceaeSolanum tuberosum Ref.
zoom in