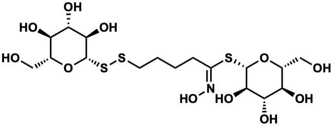
| Name |
4-(2-Amino-2-carboxyethylthio)butyl glucosinolate |
| Formula |
C14H26N2O11S3 |
| Mw |
494.06987188 |
| CAS RN |
850194-48-8 |
| C_ID |
C00054727
|
| InChIKey |
FZOWQMPYXVZDER-JLCMRICXSA-N |
| InChICode |
InChI=1S/C17H31NO11S3/c19-5-7-10(21)12(23)14(25)16(28-7)31-9(18-27)3-1-2-4-30-32-17-15(26)13(24)11(22)8(6-20)29-17/h7-8,10-17,19-27H,1-6H2/b18-9+/t7-,8-,10-,11-,12+,13+,14-,15-,16+,17+/m1/s1 |
| SMILES |
OC[C@H]1O[C@@H](SSCCCC/C(=NO)S[C@@H]2O[C@H](CO)[C@@H](O)[C@H](O)[C@H]2O)[C@H](O)[C@@H](O)[C@@H]1O |
| Start Substs in Alk. Biosynthesis (Prediction) |
|
| Organism |
| Kingdom |
Family |
Species |
Reference |
| Plantae | Cruciferae | Eruca sativa  | Ref. |
|
|
zoom in
|