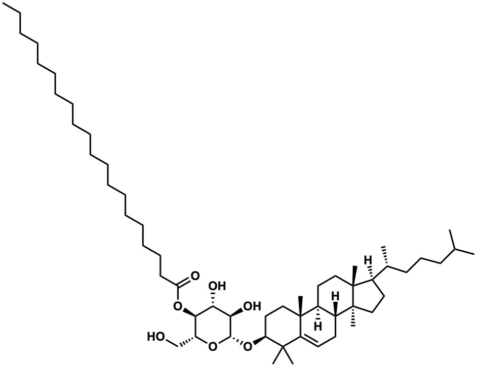
input word = C00054721

Metabolite InformationStructural formula
Name Citruslanosteroside
Formula C56H100O7
Mw 884.74690555
CAS RN 1236770-08-3
C_ID C00054721
InChIKey RNZBTDCPEXSVQV-CYZVRBIRSA-N
InChICode InChI=1S/C56H100O7/c1-10-11-12-13-14-15-16-17-18-19-20-21-22-23-24-25-26-30-48(58)63-51-45(39-57)61-52(50(60)49(51)59)62-47-35-36-54(7)43-34-38-55(8)42(41(4)29-27-28-40(2)3)33-37-56(55,9)44(43)31-32-46(54)53(47,5)6/h32,40-45,47,49-52,57,59-60H,10-31,33-39H2,1-9H3/t41-,42-,43+,44-,45-,47+,49-,50-,51-,52+,54-,55-,56+/m1/s1
SMILES CCCCCCCCCCCCCCCCCCCC(=O)O[C@H]1[C@H](O)[C@@H](O)[C@H](O[C@H]2CC[C@@]3(C)C(=CC[C@@H]4[C@@H]3CC[C@]3(C)[C@@H]([C@H](C)CCCC(C)C)CC[C@@]43C)C2(C)C)O[C@@H]1CO
Start Substs in Alk. Biosynthesis (Prediction)
Organism
Kingdom Family Species Reference
PlantaeRutaceaeCitrus reticulata Ref.
zoom in