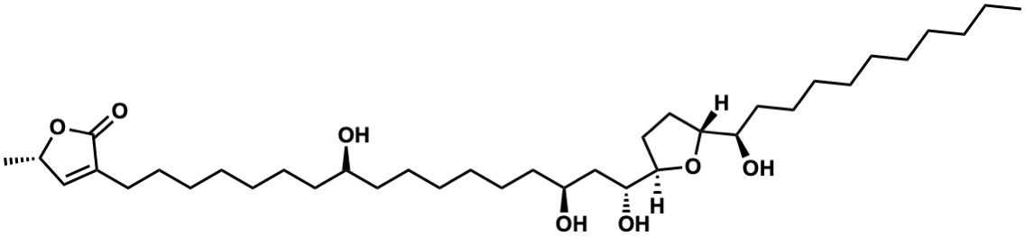
| Name |
Asitrilobin D |
| Formula |
C37H68O7 |
| Mw |
624.49650453 |
| CAS RN |
262352-20-5 |
| C_ID |
C00054675
|
| InChIKey |
IFULYTAZAAQCHW-LMLGJRICSA-N |
| InChICode |
InChI=1S/C37H68O7/c1-3-4-5-6-7-8-12-19-24-33(40)35-25-26-36(44-35)34(41)28-32(39)23-18-14-13-17-22-31(38)21-16-11-9-10-15-20-30-27-29(2)43-37(30)42/h27,29,31-36,38-41H,3-26,28H2,1-2H3/t29-,31-,32-,33+,34+,35+,36+/m0/s1 |
| SMILES |
CCCCCCCCCC[C@@H](O)[C@H]1CC[C@H]([C@H](O)C[C@@H](O)CCCCCCC(O)CCCCCCCC2=C[C@H](C)OC2=O)O1 |
| Start Substs in Alk. Biosynthesis (Prediction) |
|
| Organism |
| Kingdom |
Family |
Species |
Reference |
| Plantae | Annonaceae | Asimina triloba  | Ref. |
|
|
zoom in
|