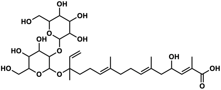
| Name |
Capsianoside I |
| Formula |
C32H52O14 |
| Mw |
660.33570637 |
| CAS RN |
121924-04-7 |
| C_ID |
C00054648
|
| InChIKey |
ISQUNAAALVXWGI-DFTZOVBQSA-N |
| InChICode |
InChI=1S/C32H52O14/c1-6-32(5,12-8-11-17(2)9-7-10-18(3)13-20(35)14-19(4)29(41)42)46-31-28(26(39)24(37)22(16-34)44-31)45-30-27(40)25(38)23(36)21(15-33)43-30/h6,10-11,14,20-28,30-31,33-40H,1,7-9,12-13,15-16H2,2-5H3,(H,41,42)/b17-11+,18-10+,19-14+ |
| SMILES |
C=CC(C)(CC/C=C(C)CC/C=C(C)CC(O)/C=C(C)C(=O)O)OC1OC(CO)C(O)C(O)C1OC1OC(CO)C(O)C(O)C1O |
| Start Substs in Alk. Biosynthesis (Prediction) |
|
| Organism |
| Kingdom |
Family |
Species |
Reference |
| Plantae | Solanaceae | Capsicum annuum var. fascuilatum  | Ref. |
|
|
zoom in
|