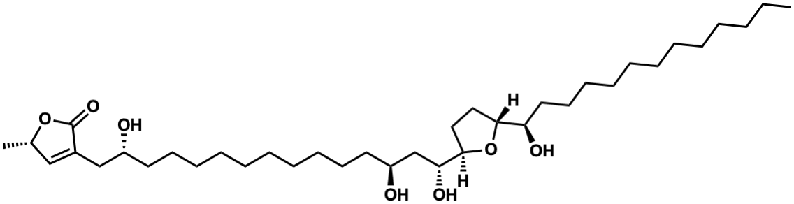
| Name |
Asitrilobin C |
| Formula |
C37H68O7 |
| Mw |
624.49650453 |
| CAS RN |
262352-08-9 |
| C_ID |
C00054587
|
| InChIKey |
BCBLVYJIKUTOHM-UXXGTDFTSA-N |
| InChICode |
InChI=1S/C37H68O7/c1-3-4-5-6-7-8-9-14-17-20-23-33(40)35-24-25-36(44-35)34(41)28-32(39)22-19-16-13-11-10-12-15-18-21-31(38)27-30-26-29(2)43-37(30)42/h26,29,31-36,38-41H,3-25,27-28H2,1-2H3/t29-,31+,32-,33+,34+,35+,36+/m0/s1 |
| SMILES |
CCCCCCCCCCCC[C@@H](O)[C@H]1CC[C@H]([C@H](O)C[C@@H](O)CCCCCCCCCC[C@@H](O)CC2=C[C@H](C)OC2=O)O1 |
| Start Substs in Alk. Biosynthesis (Prediction) |
|
| Organism |
| Kingdom |
Family |
Species |
Reference |
| Plantae | Annonaceae | Asimina triloba  | Ref. |
|
|
zoom in
|