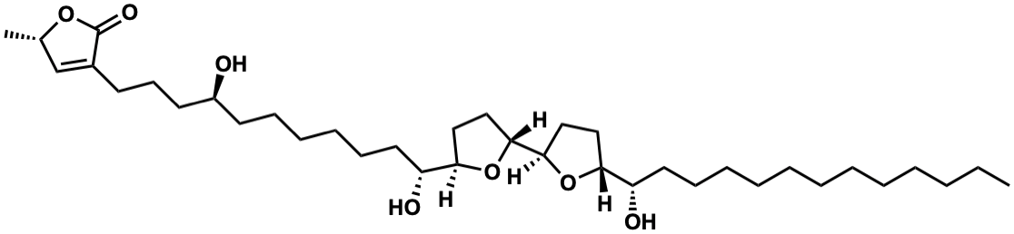
| Name |
4-Deoxy-6-hydroxysquamotacin |
| Formula |
C37H66O7 |
| Mw |
622.48085446 |
| CAS RN |
313056-92-7 |
| C_ID |
C00054533
|
| InChIKey |
WWLPFTIHLMRECR-UXQNAKQRSA-N |
| InChICode |
InChI=1S/C37H66O7/c1-3-4-5-6-7-8-9-10-11-15-21-31(39)33-23-25-35(43-33)36-26-24-34(44-36)32(40)22-16-13-12-14-19-30(38)20-17-18-29-27-28(2)42-37(29)41/h27-28,30-36,38-40H,3-26H2,1-2H3/t28-,30-,31-,32+,33+,34+,35+,36+/m0/s1 |
| SMILES |
CCCCCCCCCCCC[C@H](O)[C@H]1CC[C@H]([C@H]2CC[C@H]([C@H](O)CCCCCC[C@H](O)CCCC3=C[C@H](C)OC3=O)O2)O1 |
| Start Substs in Alk. Biosynthesis (Prediction) |
|
| Organism |
| Kingdom |
Family |
Species |
Reference |
| Plantae | Annonaceae | Annona glabra  | Ref. |
|
|
zoom in
|