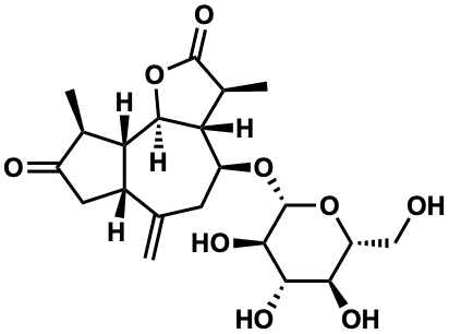
| Name |
Cynarascoloside C |
| Formula |
C21H30O9 |
| Mw |
426.18898256 |
| CAS RN |
518034-54-3 |
| C_ID |
C00054500
|
| InChIKey |
HGFWSEPBYRBDOL-JVEAFJHYSA-N |
| InChICode |
InChI=1S/C21H30O9/c1-7-4-12(28-21-18(26)17(25)16(24)13(6-22)29-21)15-9(3)20(27)30-19(15)14-8(2)11(23)5-10(7)14/h8-10,12-19,21-22,24-26H,1,4-6H2,2-3H3/t8-,9+,10+,12+,13-,14+,15-,16-,17+,18-,19-,21-/m1/s1 |
| SMILES |
C=C1C[C@H](O[C@@H]2O[C@H](CO)[C@@H](O)[C@H](O)[C@H]2O)[C@@H]2[C@H](OC(=O)[C@H]2C)[C@H]2[C@H](C)C(=O)C[C@@H]12 |
| Start Substs in Alk. Biosynthesis (Prediction) |
|
| Organism |
| Kingdom |
Family |
Species |
Reference |
| Plantae | Asteraceae | Cynara scolymus  | Ref. |
|
|
zoom in
|