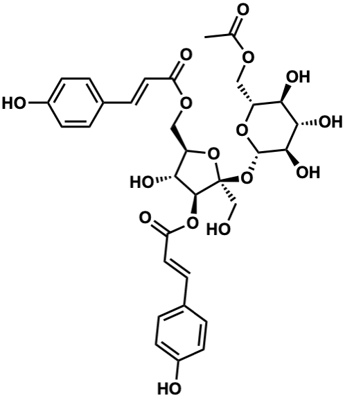
| Name |
6-Acetyl-3',6'-di-p-coumaroylsucrose |
| Formula |
C32H36O16 |
| Mw |
676.20033511 |
| CAS RN |
761447-92-1 |
| C_ID |
C00054474
|
| InChIKey |
XWPYLMJVXBTESZ-KLBZKRHISA-N |
| InChICode |
InChI=1S/C32H36O16/c1-17(34)43-14-22-26(39)28(41)29(42)31(45-22)48-32(16-33)30(46-25(38)13-7-19-4-10-21(36)11-5-19)27(40)23(47-32)15-44-24(37)12-6-18-2-8-20(35)9-3-18/h2-13,22-23,26-31,33,35-36,39-42H,14-16H2,1H3/b12-6+,13-7+/t22-,23-,26-,27-,28+,29-,30+,31+,32+/m1/s1 |
| SMILES |
CC(=O)OC[C@H]1O[C@@H](O[C@]2(CO)O[C@H](COC(=O)/C=C/c3ccc(O)cc3)[C@@H](O)[C@@H]2OC(=O)/C=C/c2ccc(O)cc2)[C@H](O)[C@@H](O)[C@@H]1O |
| Start Substs in Alk. Biosynthesis (Prediction) |
|
| Organism |
| Kingdom |
Family |
Species |
Reference |
| Plantae | Cannaceae | Canna edulis  | Ref. |
|
|
zoom in
|