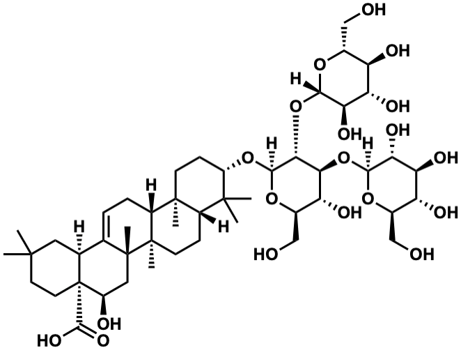
input word = C00054462

Metabolite InformationStructural formula
Name Congmuyanoside B
Formula C48H78O19
Mw 958.51373031
CAS RN 894788-66-0
C_ID C00054462
InChIKey ZTJZWYCRXOICBI-BNLMHAFCSA-N
InChICode InChI=1S/C48H78O19/c1-43(2)14-15-48(42(60)61)22(16-43)21-8-9-27-45(5)12-11-29(44(3,4)26(45)10-13-46(27,6)47(21,7)17-28(48)52)65-41-38(67-40-36(59)34(57)31(54)24(19-50)63-40)37(32(55)25(20-51)64-41)66-39-35(58)33(56)30(53)23(18-49)62-39/h8,22-41,49-59H,9-20H2,1-7H3,(H,60,61)/t22-,23+,24+,25+,26-,27+,28+,29-,30+,31+,32+,33-,34-,35+,36+,37-,38+,39-,40-,41-,45-,46+,47+,48+/m0/s1
SMILES CC1(C)CC[C@]2(C(=O)O)[C@H](O)C[C@]3(C)C(=CC[C@@H]4[C@@]5(C)CC[C@H](O[C@@H]6O[C@H](CO)[C@@H](O)[C@H](O[C@@H]7O[C@H](CO)[C@@H](O)[C@H](O)[C@H]7O)[C@H]6O[C@@H]6O[C@H](CO)[C@@H](O)[C@H](O)[C@H]6O)C(C)(C)[C@@H]5CC[C@]43C)[C@@H]2C1
Start Substs in Alk. Biosynthesis (Prediction)
Organism
Kingdom Family Species Reference
PlantaeAraliaceaeAralia elata Ref.
zoom in