input word = C00054459

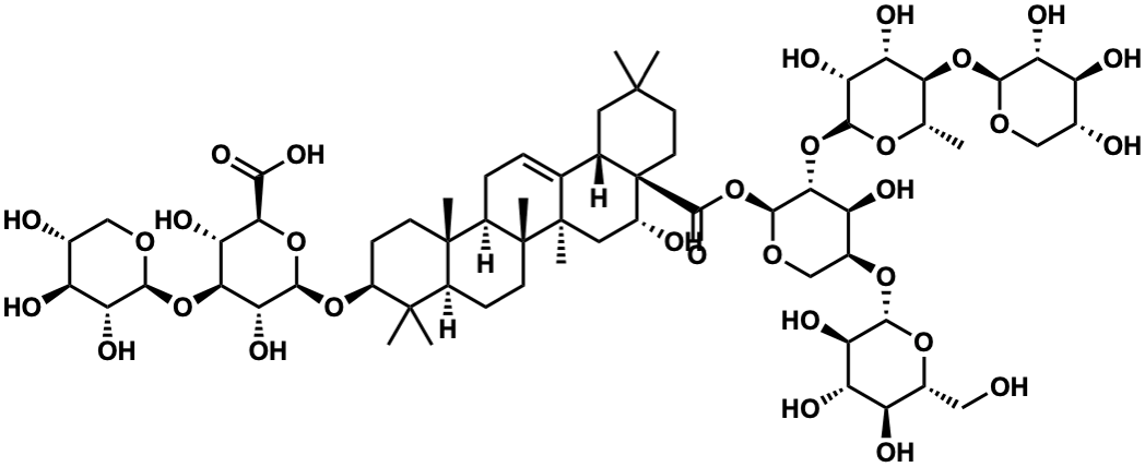
Metabolite InformationStructural formula
Name Codonolaside III
Formula C63H100O31
Mw 1352.62485648
CAS RN 1156005-46-7
C_ID C00054459
InChIKey ZKFWWMHFCGNPNU-NVKNTBHASA-N
InChICode InChI=1S/C63H100O31/c1-23-46(90-51-40(74)34(68)26(65)20-83-51)39(73)43(77)53(86-23)93-49-37(71)29(88-54-42(76)38(72)36(70)28(19-64)87-54)22-85-56(49)94-57(82)63-16-15-58(2,3)17-25(63)24-9-10-31-60(6)13-12-33(59(4,5)30(60)11-14-61(31,7)62(24,8)18-32(63)67)89-55-45(79)47(44(78)48(92-55)50(80)81)91-52-41(75)35(69)27(66)21-84-52/h9,23,25-49,51-56,64-79H,10-22H2,1-8H3,(H,80,81)/t23-,25-,26+,27+,28+,29-,30-,31+,32+,33-,34-,35-,36+,37-,38-,39-,40+,41+,42+,43+,44-,45+,46-,47-,48-,49+,51-,52-,53+,54-,55+,56-,60-,61+,62+,63+/m0/s1
SMILES C[C@@H]1OC(O[C@H]2[C@H](OC(=O)[C@]34CCC(C)(C)C[C@H]3C3=CC[C@@H]5[C@@]6(C)CC[C@H](O[C@@H]7O[C@H](C(=O)O)[C@@H](O)[C@H](O[C@@H]8OC[C@@H](O)[C@H](O)[C@H]8O)[C@H]7O)C(C)(C)[C@@H]6CC[C@@]5(C)[C@]3(C)C[C@H]4O)OC[C@H](O[C@@H]3O[C@H](CO)[C@@H](O)[C@H](O)[C@H]3O)[C@@H]2O)[C@H](O)[C@H](O)[C@H]1O[C@@H]1OC[C@@H](O)[C@H](O)[C@H]1O
Start Substs in Alk. Biosynthesis (Prediction)
Organism
Kingdom Family Species Reference
PlantaeCampanulaceae/LobeliaceaeCodonopsis lanceolata Ref.
zoom in