input word = C00054450

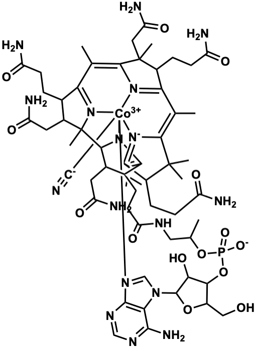
Metabolite InformationStructural formula
Name Adenylcyanocobamide
Formula C59H83CoN17O14P
Mw 1343.53750188
CAS RN 13408-75-8
C_ID C00054450
InChIKey SRBGNENRIKIVKF-UHFFFAOYSA-L
InChICode InChI=1S/C58H85N16O14P.CN.Co/c1-25(87-89(84,85)88-47-34(22-75)86-54(46(47)83)74-24-69-53-45(74)52(65)67-23-68-53)21-66-41(82)16-17-56(7)33(19-39(63)80)51-58(9)32(18-38(62)79)29(10-13-35(59)76)42(73-58)26(2)50-57(8,20-40(64)81)31(12-15-37(61)78)44(71-50)27(3)48-55(5,6)30(11-14-36(60)77)43(70-48)28(4)49(56)72-51;1-2;/h23-25,29-34,46-47,51,54,75,83H,10-22H2,1-9H3,(H17,59,60,61,62,63,64,65,66,67,68,70,71,72,73,76,77,78,79,80,81,82,84,85);;/q;-1;+3/p-2
SMILES NC1=NC=NC2=C1N(C3C(O)C(OP(OC(CNC(CCC45C)=O)C)([O-])=O)C(CO)O3)C=[N]2[Co+3]678([C-]#N)N(C9C4CC(N)=O)C5=C(C)C(C(CCC(N)=O)C%10(C)C)=[N-]6C%10=C(C)C(C(CCC(N)=O)C%11(CC(N)=O)C)=[N]7C%11=C(C)C%12=[N]8C9(C)C(CC(N)=O)C%12CCC(N)=O
Start Substs in Alk. Biosynthesis (Prediction)
Organism
Kingdom Family Species Reference
--Aphanothece sacrum Ref.
zoom in