input word = C00054449

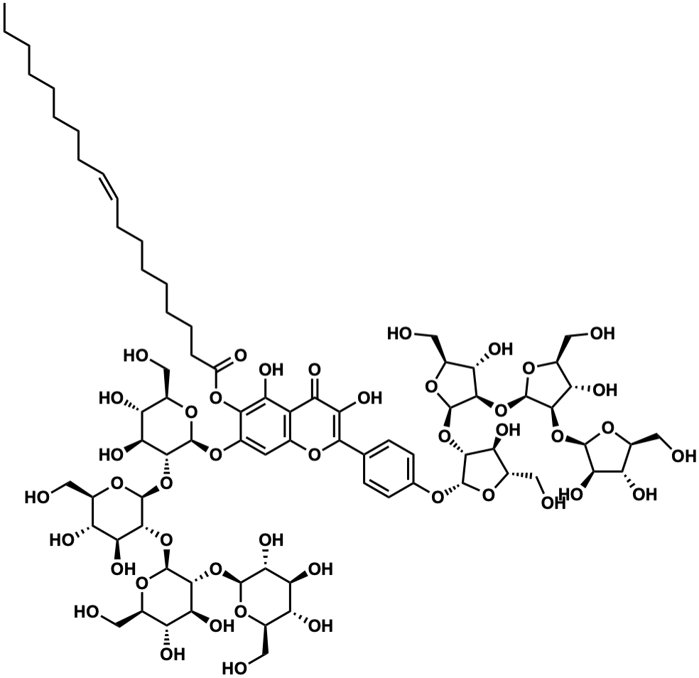
Metabolite InformationStructural formula
Name AG 11
Formula C77H114O44
Mw 1742.66829702
CAS RN 1262793-55-4
C_ID C00054449
InChIKey YBZNOCIOPBDLCB-KDEFVLOBSA-N
InChICode InChI=1S/C77H114O44/c1-2-3-4-5-6-7-8-9-10-11-12-13-14-15-16-17-43(86)115-63-34(106-73-67(56(98)46(88)36(24-79)109-73)120-77-69(58(100)48(90)38(26-81)111-77)121-76-68(57(99)47(89)37(25-80)110-76)117-71-61(103)55(97)45(87)35(23-78)107-71)22-33-44(54(63)96)53(95)59(101)62(105-33)31-18-20-32(21-19-31)104-72-64(50(92)40(28-83)112-72)118-75-66(52(94)42(30-85)114-75)119-74-65(51(93)41(29-84)113-74)116-70-60(102)49(91)39(27-82)108-70/h9-10,18-22,35-42,45-52,55-58,60-61,64-85,87-94,96-103H,2-8,11-17,23-30H2,1H3/b10-9-/t35-,36-,37-,38-,39+,40+,41+,42+,45-,46-,47-,48-,49+,50+,51+,52+,55+,56+,57+,58+,60-,61-,64-,65-,66-,67-,68-,69-,70-,71+,72+,73-,74-,75-,76+,77+/m1/s1
SMILES CCCCCCCC/C=CCCCCCCCC(=O)Oc1c(O[C@@H]2O[C@H](CO)[C@@H](O)[C@H](O)[C@H]2O[C@@H]2O[C@H](CO)[C@@H](O)[C@H](O)[C@H]2O[C@@H]2O[C@H](CO)[C@@H](O)[C@H](O)[C@H]2O[C@@H]2O[C@H](CO)[C@@H](O)[C@H](O)[C@H]2O)cc2oc(-c3ccc(O[C@H]4O[C@@H](CO)[C@H](O)[C@H]4O[C@H]4O[C@@H](CO)[C@H](O)[C@H]4O[C@H]4O[C@@H](CO)[C@H](O)[C@H]4O[C@H]4O[C@@H](CO)[C@H](O)[C@H]4O)cc3)c(O)c(=O)c2c1O
Start Substs in Alk. Biosynthesis (Prediction)
Organism
Kingdom Family Species Reference
PlantaeZingiberaceaeAlpinia galanga Ref.
zoom in