input word = C00054430

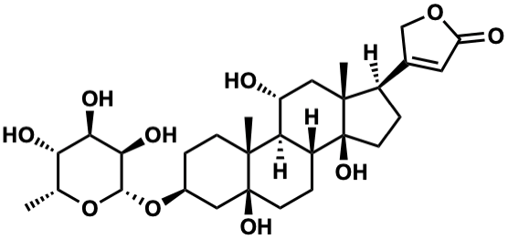
Metabolite InformationStructural formula
Name Bipindogulomethyloside
Formula C29H44O10
Mw 552.29344763
CAS RN 53152-43-5
C_ID C00054430
InChIKey WRORFDCUNLGVJF-QSZRKNAOSA-N
InChICode InChI=1S/C29H44O10/c1-14-22(32)23(33)24(34)25(38-14)39-16-4-7-26(2)21-18(5-8-28(26,35)11-16)29(36)9-6-17(15-10-20(31)37-13-15)27(29,3)12-19(21)30/h10,14,16-19,21-25,30,32-36H,4-9,11-13H2,1-3H3/t14-,16+,17-,18-,19-,21-,22+,23-,24-,25+,26-,27-,28+,29+/m1/s1
SMILES C[C@H]1O[C@@H](O[C@H]2CC[C@]3(C)[C@H]4[C@H](O)C[C@]5(C)[C@@H](C6=CC(=O)OC6)CC[C@]5(O)[C@@H]4CC[C@]3(O)C2)[C@H](O)[C@H](O)[C@H]1O
Start Substs in Alk. Biosynthesis (Prediction)
Organism
Kingdom Family Species Reference
PlantaeConvallariaceaeConvallaria majalis Ref.
zoom in