input word = C00054363

Metabolite InformationStructural formula
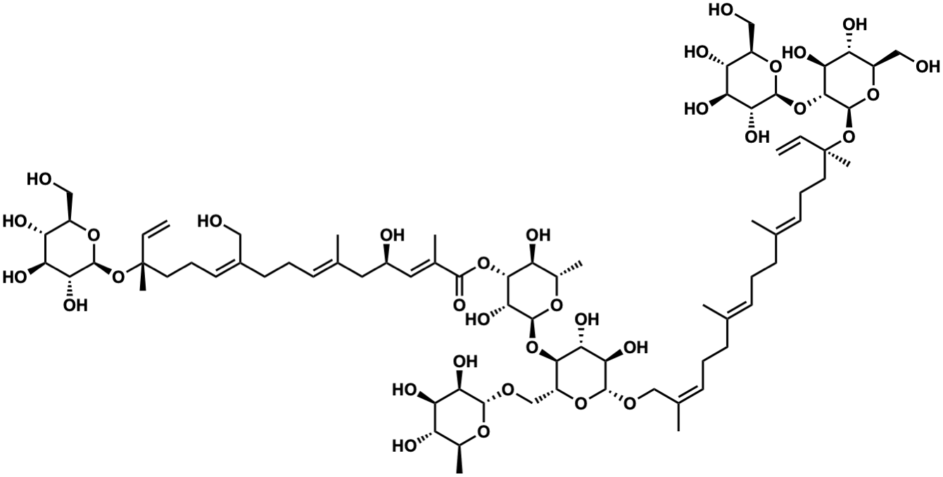
Name Capsianoside L
Formula C76H124O34
Mw 1580.79740111
CAS RN 914307-26-9
C_ID C00054363
InChIKey HVICCZDYLXXFEY-IKQRWIGMSA-N
InChICode InChI=1S/C76H124O34/c1-12-75(10,109-73-62(94)57(89)53(85)47(33-79)103-73)28-18-26-44(31-77)25-16-22-39(5)29-45(81)30-41(7)68(97)106-66-51(83)43(9)101-72(64(66)96)107-65-49(36-99-69-60(92)55(87)50(82)42(8)100-69)105-70(63(95)59(65)91)98-35-40(6)23-15-21-37(3)19-14-20-38(4)24-17-27-76(11,13-2)110-74-67(58(90)54(86)48(34-80)104-74)108-71-61(93)56(88)52(84)46(32-78)102-71/h12-13,19,22-24,26,30,42-43,45-67,69-74,77-96H,1-2,14-18,20-21,25,27-29,31-36H2,3-11H3/b37-19+,38-24+,39-22+,40-23-,41-30+,44-26-/t42-,43-,45+,46+,47+,48+,49+,50-,51-,52+,53+,54+,55+,56-,57-,58-,59+,60+,61+,62+,63+,64+,65+,66+,67+,69+,70+,71-,72-,73-,74-,75+,76+/m0/s1
SMILES C=C[C@](C)(CC/C=C(CO)CC/C=C(C)C[C@@H](O)/C=C(C)C(=O)O[C@@H]1[C@@H](O)[C@H](C)O[C@@H](O[C@H]2[C@H](O)[C@@H](O)[C@H](OC/C(C)=CCC/C(C)=C/CC/C(C)=C/CC[C@@](C)(C=C)O[C@@H]3O[C@H](CO)[C@@H](O)[C@H](O)[C@H]3O[C@@H]3O[C@H](CO)[C@@H](O)[C@H](O)[C@H]3O)O[C@@H]2CO[C@@H]2O[C@@H](C)[C@H](O)[C@@H](O)[C@H]2O)[C@@H]1O)O[C@@H]1O[C@H](CO)[C@@H](O)[C@H](O)[C@H]1O
Start Substs in Alk. Biosynthesis (Prediction)
Organism
Kingdom Family Species Reference
PlantaeSolanaceaeCapsicum annuum Ref.
zoom in