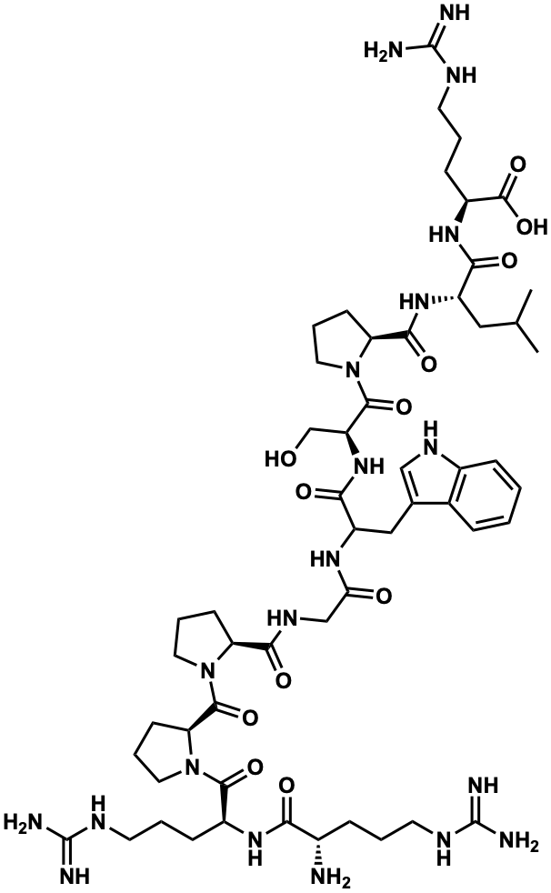
input word = C00054327

Metabolite InformationStructural formula
Name Cod[Arg0]BK
Formula C55H88N20O12
Mw 1220.68905842
CAS RN 178062-07-2
C_ID C00054327
InChIKey GODGKUMHDJPWJK-SZLQFFKBSA-N
InChICode InChI=1S/C55H88N20O12/c1-30(2)25-37(45(79)70-36(52(86)87)15-7-21-65-55(61)62)71-48(82)41-17-9-22-73(41)50(84)39(29-76)72-46(80)38(26-31-27-66-34-13-4-3-11-32(31)34)68-43(77)28-67-47(81)40-16-8-23-74(40)51(85)42-18-10-24-75(42)49(83)35(14-6-20-64-54(59)60)69-44(78)33(56)12-5-19-63-53(57)58/h3-4,11,13,27,30,33,35-42,66,76H,5-10,12,14-26,28-29,56H2,1-2H3,(H,67,81)(H,68,77)(H,69,78)(H,70,79)(H,71,82)(H,72,80)(H,86,87)(H4,57,58,63)(H4,59,60,64)(H4,61,62,65)/t33-,35-,36-,37-,38?,39-,40-,41-,42-/m0/s1
SMILES CC(C)C[C@H](NC(=O)[C@@H]1CCCN1C(=O)[C@H](CO)NC(=O)C(Cc1c[nH]c2ccccc12)NC(=O)CNC(=O)[C@@H]1CCCN1C(=O)[C@@H]1CCCN1C(=O)[C@H](CCCNC(=N)N)NC(=O)[C@@H](N)CCCNC(=N)N)C(=O)N[C@@H](CCCNC(=N)N)C(=O)O
Start Substs in Alk. Biosynthesis (Prediction)
Organism
Kingdom Family Species Reference
--Gadus morhua Ref.
zoom in