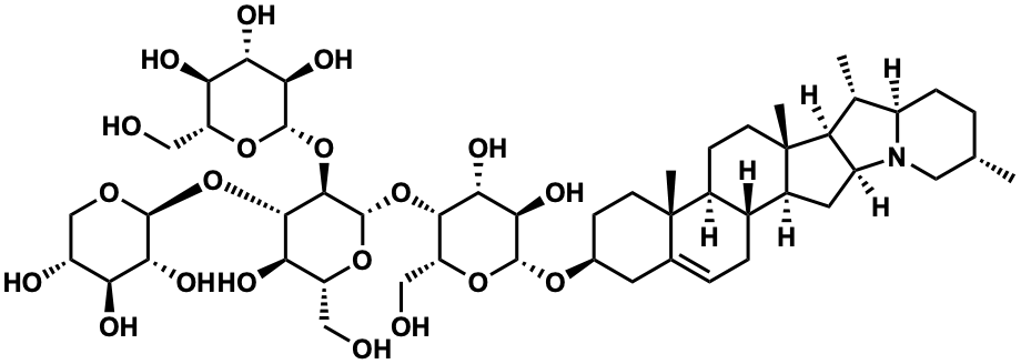
| Name |
5,6-Dehydrodemissine |
| Formula |
C50H81NO20 |
| Mw |
1015.53519404 |
| CAS RN |
195433-57-9 |
| C_ID |
C00054317
|
| InChIKey |
AGGQBLQYYGOWKY-IGUMAVTISA-N |
| InChICode |
InChI=1S/C50H81NO20/c1-20-5-8-27-21(2)33-28(51(27)15-20)14-26-24-7-6-22-13-23(9-11-49(22,3)25(24)10-12-50(26,33)4)65-46-41(63)38(60)42(32(18-54)68-46)69-48-44(71-47-40(62)37(59)35(57)30(16-52)66-47)43(36(58)31(17-53)67-48)70-45-39(61)34(56)29(55)19-64-45/h6,20-21,23-48,52-63H,5,7-19H2,1-4H3/t20-,21+,23-,24+,25-,26-,27+,28-,29+,30+,31+,32+,33-,34-,35+,36+,37-,38+,39+,40+,41+,42-,43-,44+,45-,46+,47-,48-,49-,50-/m0/s1 |
| SMILES |
C[C@H]1CC[C@@H]2[C@@H](C)[C@H]3[C@H](C[C@H]4[C@@H]5CC=C6C[C@@H](O[C@@H]7O[C@H](CO)[C@H](O[C@@H]8O[C@H](CO)[C@@H](O)[C@H](O[C@@H]9OC[C@@H](O)[C@H](O)[C@H]9O)[C@H]8O[C@@H]8O[C@H](CO)[C@@H](O)[C@H](O)[C@H]8O)[C@H](O)[C@H]7O)CC[C@]6(C)[C@H]5CC[C@]34C)N2C1 |
| Start Substs in Alk. Biosynthesis (Prediction) |
|
| Organism |
| Kingdom |
Family |
Species |
Reference |
| Plantae | Solanaceae | Solanum commersonii  | Ref. |
|
|
zoom in
|