input word = C00054246

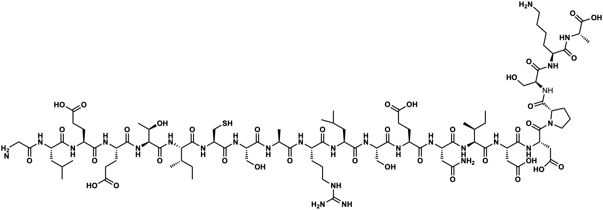
Metabolite InformationStructural formula
Name Chenopodin
Formula C92H154N26O37S
Mw 2247.06889086
CAS RN 146671-16-1
C_ID C00054246
InChIKey FONAVKNCIBWYMG-BZZFSYQESA-N
InChICode InChI=1S/C92H154N26O37S/c1-12-42(7)69(87(150)109-55(33-67(131)132)80(143)110-56(34-68(133)134)90(153)118-29-17-20-61(118)86(149)113-59(38-121)84(147)103-47(18-14-15-27-93)73(136)100-45(10)91(154)155)115-81(144)54(32-62(95)123)108-76(139)50(22-25-65(127)128)106-83(146)58(37-120)111-79(142)53(31-41(5)6)107-74(137)48(19-16-28-98-92(96)97)102-72(135)44(9)99-82(145)57(36-119)112-85(148)60(39-156)114-88(151)70(43(8)13-2)116-89(152)71(46(11)122)117-77(140)51(23-26-66(129)130)104-75(138)49(21-24-64(125)126)105-78(141)52(30-40(3)4)101-63(124)35-94/h40-61,69-71,119-122,156H,12-39,93-94H2,1-11H3,(H2,95,123)(H,99,145)(H,100,136)(H,101,124)(H,102,135)(H,103,147)(H,104,138)(H,105,141)(H,106,146)(H,107,137)(H,108,139)(H,109,150)(H,110,143)(H,111,142)(H,112,148)(H,113,149)(H,114,151)(H,115,144)(H,116,152)(H,117,140)(H,125,126)(H,127,128)(H,129,130)(H,131,132)(H,133,134)(H,154,155)(H4,96,97,98)/t42-,43-,44-,45-,46+,47-,48-,49-,50-,51-,52-,53-,54-,55-,56-,57-,58-,59-,60-,61-,69-,70-,71-/m0/s1
SMILES CC[C@H](C)[C@H](NC(=O)[C@H](CC(N)=O)NC(=O)[C@H](CCC(=O)O)NC(=O)[C@H](CO)NC(=O)[C@H](CC(C)C)NC(=O)[C@H](CCCNC(=N)N)NC(=O)[C@H](C)NC(=O)[C@H](CO)NC(=O)[C@H](CS)NC(=O)[C@@H](NC(=O)[C@@H](NC(=O)[C@H](CCC(=O)O)NC(=O)[C@H](CCC(=O)O)NC(=O)[C@H](CC(C)C)NC(=O)CN)[C@@H](C)O)[C@@H](C)CC)C(=O)N[C@@H](CC(=O)O)C(=O)N[C@@H](CC(=O)O)C(=O)N1CCC[C@H]1C(=O)N[C@@H](CO)C(=O)N[C@@H](CCCCN)C(=O)N[C@@H](C)C(=O)O
Start Substs in Alk. Biosynthesis (Prediction)
Organism
Kingdom Family Species Reference
PlantaeChenopodiaceaeChenopodium quinoa Ref.
zoom in