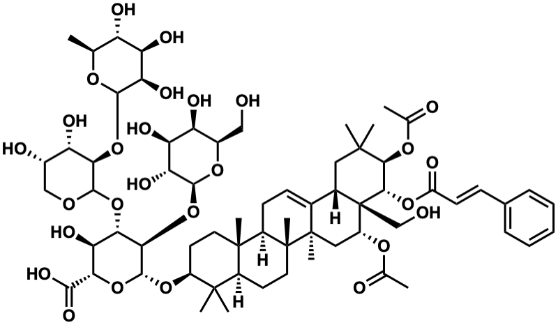
input word = C00054174

Metabolite InformationStructural formula
Name Assamsaponin J
Formula C66H96O27
Mw 1320.61389786
CAS RN 316157-19-4
C_ID C00054174
InChIKey WMDYPPZNMOEMLX-PGQDRHAOSA-N
InChICode InChI=1S/C66H96O27/c1-29-42(73)45(76)47(78)57(84-29)92-52-43(74)35(71)27-83-59(52)90-50-49(80)51(56(81)82)91-60(53(50)93-58-48(79)46(77)44(75)36(26-67)87-58)88-39-21-22-63(8)37(62(39,6)7)20-23-64(9)38(63)18-17-33-34-24-61(4,5)54(86-31(3)70)55(89-41(72)19-16-32-14-12-11-13-15-32)66(34,28-68)40(85-30(2)69)25-65(33,64)10/h11-17,19,29,34-40,42-55,57-60,67-68,71,73-80H,18,20-28H2,1-10H3,(H,81,82)/b19-16+/t29-,34-,35-,36+,37-,38+,39-,40+,42-,43-,44-,45+,46-,47+,48+,49-,50-,51-,52+,53+,54-,55-,57?,58-,59?,60+,63-,64+,65+,66-/m0/s1
SMILES CC(=O)O[C@H]1[C@H](OC(=O)/C=C/c2ccccc2)[C@]2(CO)[C@H](OC(C)=O)C[C@]3(C)C(=CC[C@@H]4[C@@]5(C)CC[C@H](O[C@@H]6O[C@H](C(=O)O)[C@@H](O)[C@H](OC7OC[C@H](O)[C@H](O)[C@H]7OC7O[C@@H](C)[C@H](O)[C@@H](O)[C@H]7O)[C@H]6O[C@@H]6O[C@H](CO)[C@H](O)[C@H](O)[C@H]6O)C(C)(C)[C@@H]5CC[C@]43C)[C@@H]2CC1(C)C
Start Substs in Alk. Biosynthesis (Prediction)
Organism
Kingdom Family Species Reference
PlantaeTheaceaeCamellia sinensis var. assamica Ref.
zoom in