input word = C00054169

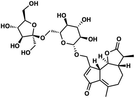
Metabolite InformationStructural formula
Name Cichorioside E
Formula C27H38O14
Mw 586.22615592
CAS RN 1086489-69-1
C_ID C00054169
InChIKey KELHXUJPCIPENS-AILJMKEKSA-N
InChICode InChI=1S/C27H38O14/c1-10-3-4-13-11(2)25(36)40-23(13)18-12(5-14(30)17(10)18)7-37-26-22(34)21(33)19(31)16(39-26)8-38-27(9-29)24(35)20(32)15(6-28)41-27/h5,11,13,15-16,18-24,26,28-29,31-35H,3-4,6-9H2,1-2H3/t11-,13-,15+,16+,18-,19+,20+,21-,22+,23-,24-,26+,27+/m0/s1
SMILES CC1=C2C(=O)C=C(CO[C@@H]3O[C@H](CO[C@]4(CO)O[C@H](CO)[C@@H](O)[C@@H]4O)[C@@H](O)[C@H](O)[C@H]3O)[C@@H]2[C@H]2OC(=O)[C@@H](C)[C@@H]2CC1
Start Substs in Alk. Biosynthesis (Prediction)
Organism
Kingdom Family Species Reference
PlantaeAsteraceaeCichorium endivia Ref.
zoom in