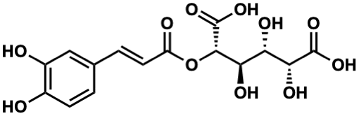
| Name |
5-O-trans-Caffeoylgalactaric acid |
| Formula |
C15H16O11 |
| Mw |
372.06926136 |
| CAS RN |
1123177-57-0 |
| C_ID |
C00054116
|
| InChIKey |
OMIXKOJEIRRAJW-IJRZCSAKSA-N |
| InChICode |
InChI=1S/C15H16O11/c16-7-3-1-6(5-8(7)17)2-4-9(18)26-13(15(24)25)11(20)10(19)12(21)14(22)23/h1-5,10-13,16-17,19-21H,(H,22,23)(H,24,25)/b4-2+/t10-,11+,12+,13-/m0/s1 |
| SMILES |
O=C(/C=C/c1ccc(O)c(O)c1)O[C@H](C(=O)O)[C@H](O)[C@H](O)[C@@H](O)C(=O)O |
| Start Substs in Alk. Biosynthesis (Prediction) |
|
| Organism |
| Kingdom |
Family |
Species |
Reference |
| Plantae | Meliaceae | Sandoricum koetjape  | Ref. |
|
|
zoom in
|