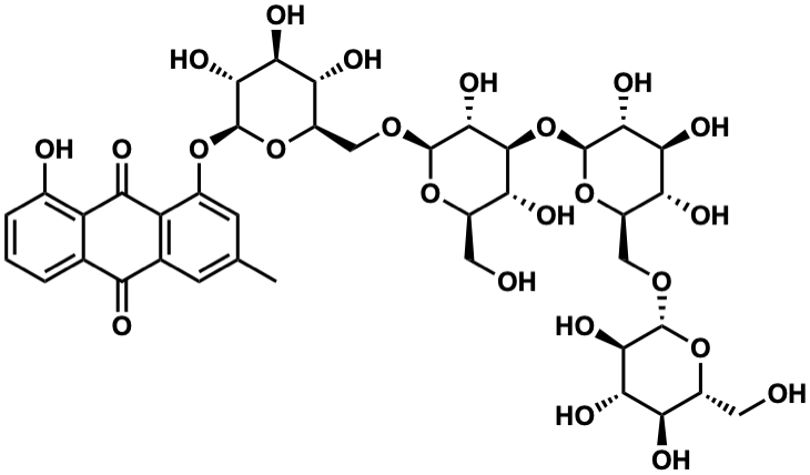
input word = C00054109

Metabolite InformationStructural formula
Name Chrysophanol 1-tetraglucoside
Formula C39H50O24
Mw 902.26920253
CAS RN 120181-08-0
C_ID C00054109
InChIKey CWGIPJXDFYVNHH-FTBXXNAOSA-N
InChICode InChI=1S/C39H50O24/c1-11-5-13-21(27(48)20-12(22(13)43)3-2-4-14(20)42)15(6-11)58-38-32(53)29(50)24(45)18(61-38)10-57-37-34(55)35(26(47)17(8-41)60-37)63-39-33(54)30(51)25(46)19(62-39)9-56-36-31(52)28(49)23(44)16(7-40)59-36/h2-6,16-19,23-26,28-42,44-47,49-55H,7-10H2,1H3/t16-,17-,18-,19-,23-,24-,25-,26-,28+,29+,30+,31-,32-,33-,34-,35+,36-,37-,38-,39+/m1/s1
SMILES Cc1cc(O[C@@H]2O[C@H](CO[C@@H]3O[C@H](CO)[C@@H](O)[C@H](O[C@@H]4O[C@H](CO[C@@H]5O[C@H](CO)[C@@H](O)[C@H](O)[C@H]5O)[C@@H](O)[C@H](O)[C@H]4O)[C@H]3O)[C@@H](O)[C@H](O)[C@H]2O)c2c(c1)C(=O)c1cccc(O)c1C2=O
Start Substs in Alk. Biosynthesis (Prediction)
Organism
Kingdom Family Species Reference
PlantaeFabaceaeCassia tora Ref.
zoom in