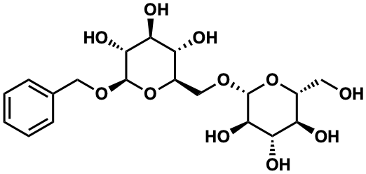
| Name |
Benzyl gentiobioside |
| Formula |
C19H28O11 |
| Mw |
432.16316174 |
| CAS RN |
56775-64-5 |
| C_ID |
C00053974
|
| InChIKey |
LLEMMFPELBNINR-SKYGPZSASA-N |
| InChICode |
InChI=1S/C19H28O11/c20-6-10-12(21)14(23)16(25)19(29-10)28-8-11-13(22)15(24)17(26)18(30-11)27-7-9-4-2-1-3-5-9/h1-5,10-26H,6-8H2/t10-,11-,12-,13-,14+,15+,16-,17-,18-,19-/m1/s1 |
| SMILES |
OC[C@H]1O[C@@H](OC[C@H]2O[C@@H](OCc3ccccc3)[C@H](O)[C@@H](O)[C@@H]2O)[C@H](O)[C@@H](O)[C@@H]1O |
| Start Substs in Alk. Biosynthesis (Prediction) |
|
| Organism |
| Kingdom |
Family |
Species |
Reference |
| Plantae | Solanaceae | Lycopersicon esculentum  | Ref. |
|
|
zoom in
|