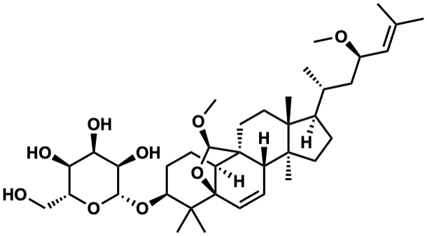
input word = C00053941

Metabolite InformationStructural formula
Name Charantoside II
Formula C38H62O9
Mw 662.43938358
CAS RN 951646-18-7
C_ID C00053941
InChIKey YDOSNHSZOCLBFE-HGJRUNHKSA-N
InChICode InChI=1S/C38H62O9/c1-21(2)18-23(43-8)19-22(3)24-12-14-36(7)26-13-15-38-27(37(26,33(44-9)47-38)17-16-35(24,36)6)10-11-28(34(38,4)5)46-32-31(42)30(41)29(40)25(20-39)45-32/h13,15,18,22-33,39-42H,10-12,14,16-17,19-20H2,1-9H3/t22-,23+,24-,25-,26+,27+,28+,29-,30-,31-,32+,33-,35-,36+,37+,38-/m1/s1
SMILES CO[C@@H]1O[C@]23C=C[C@@H]4[C@@]1(CC[C@]1(C)[C@@H]([C@H](C)C[C@H](C=C(C)C)OC)CC[C@@]41C)[C@@H]2CC[C@H](O[C@@H]1O[C@H](CO)[C@@H](O)[C@@H](O)[C@H]1O)C3(C)C
Start Substs in Alk. Biosynthesis (Prediction)
Organism
Kingdom Family Species Reference
PlantaeCucurbitaceaeMomordica charantia Ref.
zoom in