input word = C00053821

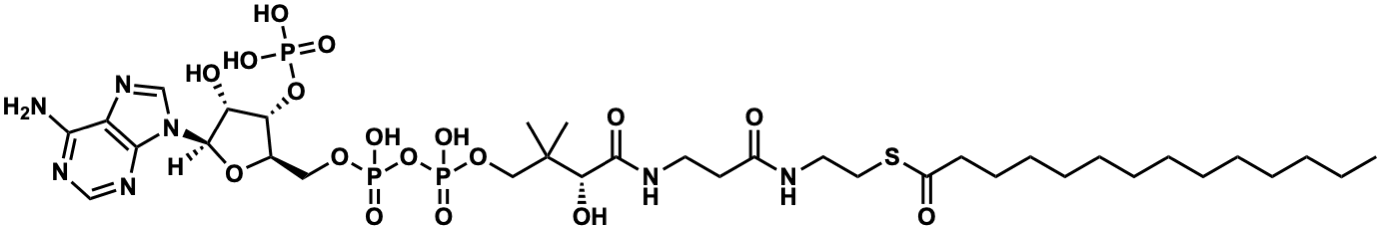
Metabolite InformationStructural formula
Name Tetradecanoyl-CoA
Formula C35H62N7O17P3S
Mw 977.31357381
CAS RN 3130-72-1
C_ID C00053821
InChIKey DUAFKXOFBZQTQE-QSGBVPJFSA-N
InChICode InChI=1S/C35H62N7O17P3S/c1-4-5-6-7-8-9-10-11-12-13-14-15-26(44)63-19-18-37-25(43)16-17-38-33(47)30(46)35(2,3)21-56-62(53,54)59-61(51,52)55-20-24-29(58-60(48,49)50)28(45)34(57-24)42-23-41-27-31(36)39-22-40-32(27)42/h22-24,28-30,34,45-46H,4-21H2,1-3H3,(H,37,43)(H,38,47)(H,51,52)(H,53,54)(H2,36,39,40)(H2,48,49,50)/t24-,28-,29-,30+,34-/m1/s1
SMILES CCCCCCCCCCCCCC(=O)SCCNC(=O)CCNC(=O)[C@H](O)C(C)(C)COP(=O)(O)OP(=O)(O)OC[C@H]1O[C@@H](n2cnc3c(N)ncnc32)[C@H](O)[C@@H]1OP(=O)(O)O
Start Substs in Alk. Biosynthesis (Prediction)
Organism
Kingdom Family Species Reference
PlantaeFabaceaePhaseolus vulgaris Ref.
--Paraburkholderia phymatum Ref.
zoom in