input word = C00053724

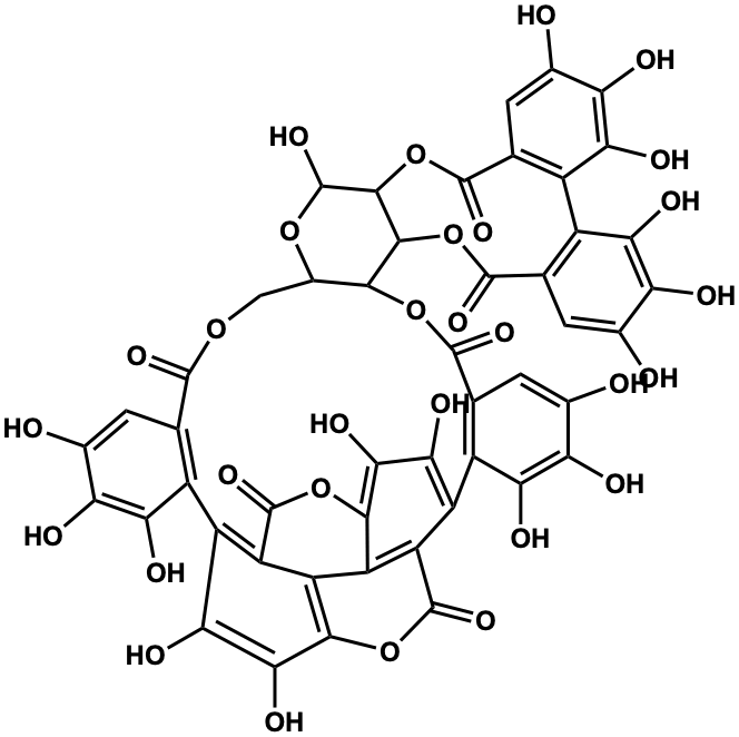
Metabolite InformationStructural formula
Name Punicalagin A
Formula C48H28O30
Mw 1084.06653956
CAS RN 130518-17-1
C_ID C00053724
InChIKey ZJVUMAFASBFUBG-UHFFFAOYSA-N
InChICode InChI=1S/C48H28O30/c49-10-1-6-17(31(59)27(10)55)19-23-21-22-24(47(70)76-38(21)35(63)33(19)61)20(34(62)36(64)39(22)75-46(23)69)18-9(4-13(52)28(56)32(18)60)43(66)74-37-14(5-72-42(6)65)73-48(71)41-40(37)77-44(67)7-2-11(50)25(53)29(57)15(7)16-8(45(68)78-41)3-12(51)26(54)30(16)58/h1-4,14,37,40-41,48-64,71H,5H2
SMILES O=C1OC2C(O)OC3COC(=O)c4cc(O)c(O)c(O)c4-c4c(O)c(O)c5oc(=O)c6c(c(O)c(O)c7oc(=O)c4c5c76)-c4c(cc(O)c(O)c4O)C(=O)OC3C2OC(=O)c2cc(O)c(O)c(O)c2-c2c1cc(O)c(O)c2O
Start Substs in Alk. Biosynthesis (Prediction)
Organism
Kingdom Family Species Reference
PlantaeLythraceaePunica granatum Ref.
zoom in