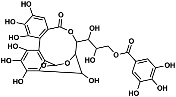
| Name |
Punicacortein B |
| Formula |
C27H22O18 |
| Mw |
634.0806139 |
| CAS RN |
103488-36-4 |
| C_ID |
C00053721
|
| InChIKey |
JYPJJOONMBTTAR-UHFFFAOYSA-N |
| InChICode |
InChI=1S/C27H22O18/c28-7-1-5(2-8(29)15(7)32)25(40)43-4-10(31)17(34)23-24-21(38)14-13(27(42)45-24)12(19(36)22(39)20(14)37)11-6(26(41)44-23)3-9(30)16(33)18(11)35/h1-3,10,17,21,23-24,28-39H,4H2 |
| SMILES |
O=C(OCC(O)C(O)C1OC(=O)c2cc(O)c(O)c(O)c2-c2c(O)c(O)c(O)c3c2C(=O)OC1C3O)c1cc(O)c(O)c(O)c1 |
| Start Substs in Alk. Biosynthesis (Prediction) |
|
| Organism |
| Kingdom |
Family |
Species |
Reference |
| Plantae | Lythraceae | Punica granatum  | Ref. |
|
|
zoom in
|