input word = C00053699

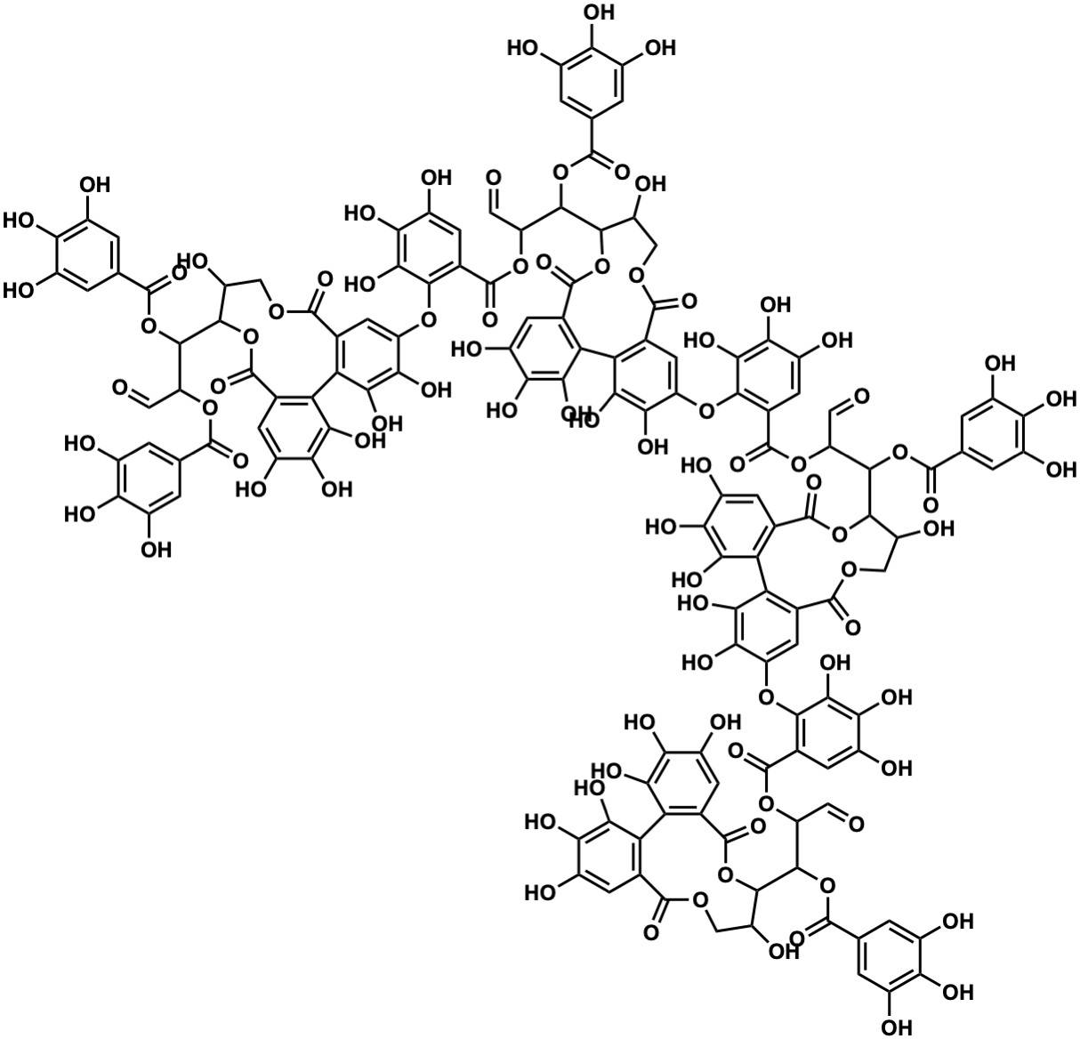
Metabolite InformationStructural formula
Name Pomegraniin A
Formula C136H98O88
Mw 3138.31933989
CAS RN 1562492-28-7
C_ID C00053699
InChIKey RDOJBXYQMIBTET-UHFFFAOYSA-N
InChICode InChI=1S/C136H98O88/c137-22-71(213-121(190)30-1-46(141)83(163)47(142)2-30)117(221-122(191)31-3-48(143)84(164)49(144)4-31)113-65(160)27-207-127(196)40-19-68(96(176)104(184)80(40)77-37(131(200)217-113)13-58(153)90(170)101(77)181)210-111-44(17-62(157)94(174)108(111)188)135(204)215-73(24-139)119(223-124(193)33-7-52(147)86(166)53(148)8-33)115-67(162)29-209-129(198)42-21-70(98(178)106(186)82(42)79-39(133(202)219-115)15-60(155)92(172)103(79)183)212-112-45(18-63(158)95(175)109(112)189)136(205)216-74(25-140)120(224-125(194)34-9-54(149)87(167)55(150)10-34)116-66(161)28-208-128(197)41-20-69(97(177)105(185)81(41)78-38(132(201)220-116)14-59(154)91(171)102(78)182)211-110-43(16-61(156)93(173)107(110)187)134(203)214-72(23-138)118(222-123(192)32-5-50(145)85(165)51(146)6-32)114-64(159)26-206-126(195)35-11-56(151)88(168)99(179)75(35)76-36(130(199)218-114)12-57(152)89(169)100(76)180/h1-25,64-67,71-74,113-120,141-189H,26-29H2
SMILES O=CC(OC(=O)c1cc(O)c(O)c(O)c1Oc1cc2c(c(O)c1O)-c1c(cc(O)c(O)c1O)C(=O)OC(C(OC(=O)c1cc(O)c(O)c(O)c1)C(C=O)OC(=O)c1cc(O)c(O)c(O)c1Oc1cc3c(c(O)c1O)-c1c(cc(O)c(O)c1O)C(=O)OC(C(OC(=O)c1cc(O)c(O)c(O)c1)C(C=O)OC(=O)c1cc(O)c(O)c(O)c1Oc1cc4c(c(O)c1O)-c1c(cc(O)c(O)c1O)C(=O)OC(C(OC(=O)c1cc(O)c(O)c(O)c1)C(C=O)OC(=O)c1cc(O)c(O)c(O)c1)C(O)COC4=O)C(O)COC3=O)C(O)COC2=O)C(OC(=O)c1cc(O)c(O)c(O)c1)C1OC(=O)c2cc(O)c(O)c(O)c2-c2c(cc(O)c(O)c2O)C(=O)OCC1O
Start Substs in Alk. Biosynthesis (Prediction)
Organism
Kingdom Family Species Reference
PlantaeLythraceaePunica granatum Ref.
zoom in