input word = C00053587

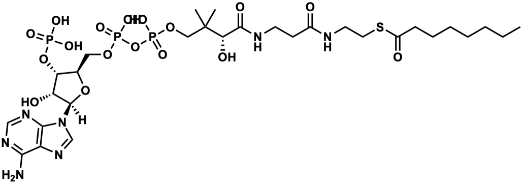
Metabolite InformationStructural formula
Name Octanoyl-CoA
Formula C29H50N7O17P3S
Mw 893.21967343
CAS RN 1264-52-4
C_ID C00053587
InChIKey KQMZYOXOBSXMII-CECATXLMSA-N
InChICode InChI=1S/C29H50N7O17P3S/c1-4-5-6-7-8-9-20(38)57-13-12-31-19(37)10-11-32-27(41)24(40)29(2,3)15-50-56(47,48)53-55(45,46)49-14-18-23(52-54(42,43)44)22(39)28(51-18)36-17-35-21-25(30)33-16-34-26(21)36/h16-18,22-24,28,39-40H,4-15H2,1-3H3,(H,31,37)(H,32,41)(H,45,46)(H,47,48)(H2,30,33,34)(H2,42,43,44)/t18-,22-,23-,24+,28-/m1/s1
SMILES CCCCCCCC(=O)SCCNC(=O)CCNC(=O)[C@H](O)C(C)(C)COP(=O)(O)OP(=O)(O)OC[C@H]1O[C@@H](n2cnc3c(N)ncnc32)[C@H](O)[C@@H]1OP(=O)(O)O
Start Substs in Alk. Biosynthesis (Prediction)
Organism
Kingdom Family Species Reference
PlantaeFabaceaePhaseolus vulgaris Ref.
--Paraburkholderia phymatum Ref.
zoom in