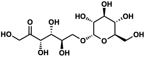
| Name |
Isomaltulose |
| Formula |
C12H22O11 |
| Mw |
342.11621155 |
| CAS RN |
13718-94-0 |
| C_ID |
C00053368
|
| InChIKey |
RJPPRBMGVWEZRR-WTZPKTTFSA-N |
| InChICode |
InChI=1S/C12H22O11/c13-1-4(15)7(17)8(18)5(16)3-22-12-11(21)10(20)9(19)6(2-14)23-12/h5-14,16-21H,1-3H2/t5-,6-,7-,8-,9-,10+,11-,12+/m1/s1 |
| SMILES |
O=C(CO)[C@@H](O)[C@H](O)[C@H](O)CO[C@H]1O[C@H](CO)[C@@H](O)[C@H](O)[C@H]1O |
| Start Substs in Alk. Biosynthesis (Prediction) |
|
| Organism |
| Kingdom |
Family |
Species |
Reference |
| Plantae | Oxalidaceae | Averrhoa carambola  | Ref. |
|
|
zoom in
|