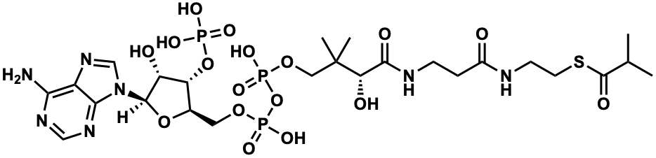
input word = C00053350

Metabolite InformationStructural formula
Name Isobutyryl CoA
Isobutyryl-CoA
Formula C25H42N7O17P3S
Mw 837.15707317
CAS RN 15621-60-0
C_ID C00053350
InChIKey AEWHYWSPVRZHCT-NDZSKPAWSA-N
InChICode InChI=1S/C25H42N7O17P3S/c1-13(2)24(37)53-8-7-27-15(33)5-6-28-22(36)19(35)25(3,4)10-46-52(43,44)49-51(41,42)45-9-14-18(48-50(38,39)40)17(34)23(47-14)32-12-31-16-20(26)29-11-30-21(16)32/h11-14,17-19,23,34-35H,5-10H2,1-4H3,(H,27,33)(H,28,36)(H,41,42)(H,43,44)(H2,26,29,30)(H2,38,39,40)/t14-,17-,18-,19+,23-/m1/s1
SMILES CC(C)C(=O)SCCNC(=O)CCNC(=O)[C@H](O)C(C)(C)COP(=O)(O)OP(=O)(O)OC[C@H]1O[C@@H](n2cnc3c(N)ncnc32)[C@H](O)[C@@H]1OP(=O)(O)O
Start Substs in Alk. Biosynthesis (Prediction)
Organism
Kingdom Family Species Reference
PlantaeCannabaceaeHumulus lupulus Ref.
PlantaeSolanaceaeCapsicum annuum Ref.
zoom in