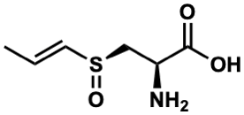
| Name |
Isoalliin |
| Formula |
C6H11NO3S |
| Mw |
177.04596396 |
| CAS RN |
16718-23-3 |
| C_ID |
C00053345
|
| InChIKey |
OKYHUOHBRKWCQJ-UUEXCLNXSA-N |
| InChICode |
InChI=1S/C6H11NO3S/c1-2-3-11(10)4-5(7)6(8)9/h2-3,5H,4,7H2,1H3,(H,8,9)/b3-2+/t5-,11-/m0/s1 |
| SMILES |
C/C=C/[S@](=O)C[C@H](N)C(=O)O |
| Start Substs in Alk. Biosynthesis (Prediction) |
|
| Organism |
| Kingdom |
Family |
Species |
Reference |
| Plantae | Alliaceae | Allium cepa  | Ref. |
|
|
zoom in
|