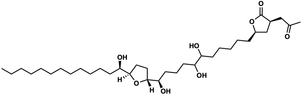
| Name |
cis-annomuricin-D-one |
| Formula |
C35H64O8 |
| Mw |
612.46011902 |
| CAS RN |
184093-47-8 |
| C_ID |
C00053019
|
| InChIKey |
GRPDKIJVLYPUGU-AOMJBODWSA-N |
| InChICode |
InChI=1S/C35H64O8/c1-3-4-5-6-7-8-9-10-11-14-19-31(39)33-22-23-34(43-33)32(40)21-16-20-30(38)29(37)18-15-12-13-17-28-25-27(24-26(2)36)35(41)42-28/h27-34,37-40H,3-25H2,1-2H3/t27-,28+,29?,30?,31+,32+,33+,34+/m0/s1 |
| SMILES |
CCCCCCCCCCCC[C@@H](O)[C@H]1CC[C@H]([C@H](O)CCCC(O)C(O)CCCCC[C@@H]2C[C@H](CC(C)=O)C(=O)O2)O1 |
| Start Substs in Alk. Biosynthesis (Prediction) |
|
| Organism |
| Kingdom |
Family |
Species |
Reference |
| Plantae | Annonaceae | Annona muricata  | Ref. |
|
|
zoom in
|