input word = C00052829

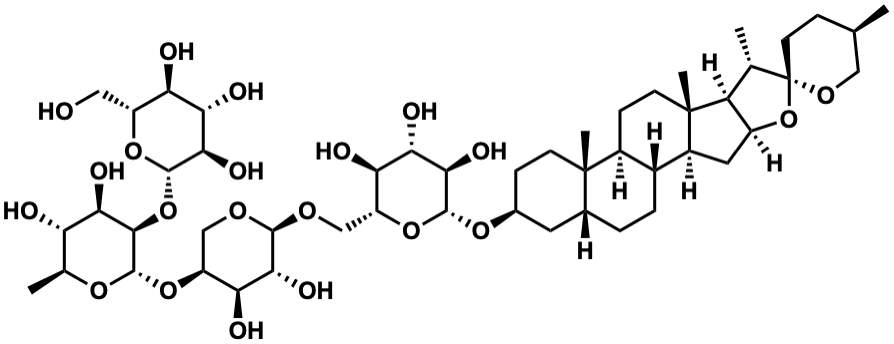
Metabolite InformationStructural formula
Name Asparanin B5
Formula C50H82O21
Mw 1018.53485968
CAS RN 1685285-88-4
C_ID C00052829
InChIKey QNJFMLSHQKNGEF-SNNMPMIESA-N
InChICode InChI=1S/C50H82O21/c1-20-8-13-50(64-17-20)21(2)32-28(71-50)15-27-25-7-6-23-14-24(9-11-48(23,4)26(25)10-12-49(27,32)5)66-45-41(60)38(57)35(54)30(68-45)18-62-44-40(59)36(55)31(19-63-44)69-47-43(39(58)33(52)22(3)65-47)70-46-42(61)37(56)34(53)29(16-51)67-46/h20-47,51-61H,6-19H2,1-5H3/t20-,21+,22+,23-,24+,25-,26+,27+,28+,29-,30-,31+,32+,33+,34-,35-,36+,37+,38+,39-,40-,41-,42-,43-,44-,45-,46+,47+,48+,49+,50-/m1/s1
SMILES C[C@@H]1CC[C@@]2(OC1)O[C@H]1C[C@H]3[C@@H]4CC[C@@H]5C[C@@H](O[C@@H]6O[C@H](CO[C@@H]7OC[C@H](O[C@@H]8O[C@@H](C)[C@H](O)[C@@H](O)[C@H]8O[C@@H]8O[C@H](CO)[C@@H](O)[C@H](O)[C@H]8O)[C@H](O)[C@H]7O)[C@@H](O)[C@H](O)[C@H]6O)CC[C@]5(C)[C@H]4CC[C@]3(C)[C@H]1[C@@H]2C
Start Substs in Alk. Biosynthesis (Prediction)
Organism
Kingdom Family Species Reference
PlantaeAsparagaceaeAsparagus racemosus Ref.
zoom in