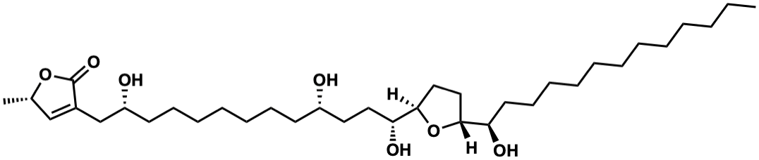
| Name |
Arianacin |
| Formula |
C35H64O7 |
| Mw |
596.4652044 |
| CAS RN |
172430-57-8 |
| C_ID |
C00052822
|
| InChIKey |
DRFBUADSYRWIKE-LKSAKRJGSA-N |
| InChICode |
InChI=1S/C35H64O7/c1-3-4-5-6-7-8-9-10-14-17-20-31(38)33-23-24-34(42-33)32(39)22-21-29(36)18-15-12-11-13-16-19-30(37)26-28-25-27(2)41-35(28)40/h25,27,29-34,36-39H,3-24,26H2,1-2H3/t27-,29-,30+,31+,32+,33+,34+/m0/s1 |
| SMILES |
CCCCCCCCCCCC[C@@H](O)[C@H]1CC[C@H]([C@H](O)CC[C@@H](O)CCCCCCC[C@@H](O)CC2=C[C@H](C)OC2=O)O1 |
| Start Substs in Alk. Biosynthesis (Prediction) |
|
| Organism |
| Kingdom |
Family |
Species |
Reference |
| Plantae | Annonaceae | Annona muricata  | Ref. |
|
|
zoom in
|