input word = C00052782

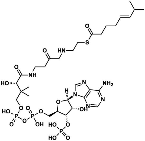
Metabolite InformationStructural formula
Name 8-Methyl-6-nonenoyl-CoA
Formula C31H52N7O17P3S
Mw 919.23532349
CAS RN 76729-86-7
C_ID C00052782
InChIKey VIGAGMFTGPEBFQ-CDDTYWHGSA-N
InChICode InChI=1S/C31H52N7O17P3S/c1-19(2)8-6-5-7-9-22(40)59-13-12-33-14-20(39)10-11-34-29(43)26(42)31(3,4)16-52-58(49,50)55-57(47,48)51-15-21-25(54-56(44,45)46)24(41)30(53-21)38-18-37-23-27(32)35-17-36-28(23)38/h6,8,17-19,21,24-26,30,33,41-42H,5,7,9-16H2,1-4H3,(H,34,43)(H,47,48)(H,49,50)(H2,32,35,36)(H2,44,45,46)/b8-6+/t21-,24-,25-,26-,30-/m1/s1
SMILES CC(C)/C=C/CCCC(=O)SCCNCC(=O)CCNC(=O)[C@@H](O)C(C)(C)COP(=O)(O)OP(=O)(O)OC[C@H]1O[C@@H](n2cnc3c(N)ncnc32)[C@H](O)[C@@H]1OP(=O)(O)O
Start Substs in Alk. Biosynthesis (Prediction)
Organism
Kingdom Family Species Reference
PlantaeSolanaceaeCapsicum annuum Ref.
zoom in