input word =
C00052708
Metabolite Information
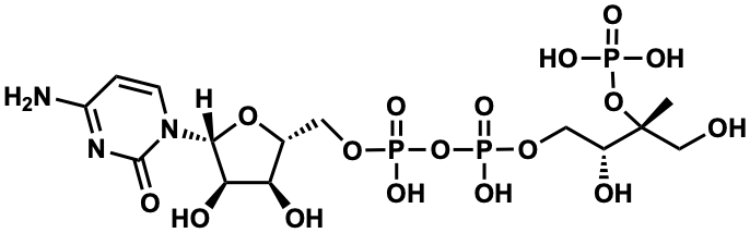
Structural formula
Name
4-Diphosphocytidyl-2C-methyl-D-erythritol 2-phophate
4-diphosphocytidyl-2C-methyl-D-erythritol 2-phophate
Formula
C14H26N3O17P3
Mw
601.0475059
CAS RN
263016-95-1
C_ID
C00052708
InChIKey
HTJXTKBIUVFUAR-SIGJANPLSA-N
InChICode
InChI=1S/C14H26N3O17P3/c1-14(6-18,33-35(23,24)25)8(19)5-31-37(28,29)34-36(26,27)30-4-7-10(20)11(21)12(32-7)17-3-2-9(15)16-13(17)22/h2-3,7-8,10-12,18-21H,4-6H2,1H3,(H,26,27)(H,28,29)(H2,15,16,22)(H2,23,24,25)/t7-,8-,10-,11-,12-,14-/m1/s1
SMILES
C[C@](CO)(OP(=O)(O)O)[C@H](O)COP(=O)(O)OP(=O)(O)OC[C@H]1O[C@@H](n2ccc(N)nc2=O)[C@H](O)[C@@H]1O
Start Substs in Alk. Biosynthesis (Prediction)
Organism
Kingdom
Family
Species
Reference
--
Thermotogaceae
Thermotoga maritima
Ref.
Bacteria
Bacillaceae
Bacillus subtilis
Ref.
Bacteria
Enterobacteriaceae
Escherichia coli
Ref.
Bacteria
Mycobacteriaceae
Mycobacterium tuberculosis
Ref.
Bacteria
Pasteurellaceae
Haemophilus influenzae
Ref.
Bacteria
Pseudomonadaceae
Pseudomonas aeruginosa
Ref.
Bacteria
Vibrionaceae
Vibrio cholerae
Ref.
Plantae
Cannabaceae
Humulus lupulus
Ref.
-
-
Aquifex aeolicus
Ref.
-
-
Borrelia burgdorferi
Ref.
-
-
Buchnera sp.
Ref.
-
-
Campylobacter jejuni
Ref.
-
-
Chlamydia sp.
Ref.
-
-
Deinococcus radiodurans
Ref.
-
-
Helicobacter pylori
Ref.
-
-
Neisseria meningitidis
Ref.
-
-
Synechocystis sp.
Ref.
-
-
Trepomema pallidum
Ref.
-
-
Xylella fastidiosa
Ref.
zoom in