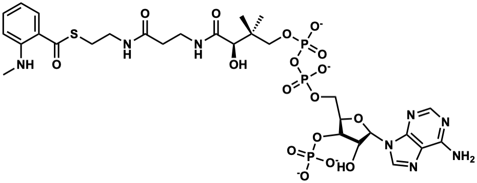
input word = C00052041

Metabolite InformationStructural formula
Name N-Methyl anthraniloyl-CoA
Formula C29H43N8O17P3S
Mw 900.16797221
CAS RN
C_ID C00052041
InChIKey DYCZFHXLKCLDQL-OLZNBMNJSA-J
InChICode InChI=1S/C29H43N8O17P3S/c1-29(2,23(40)26(41)33-9-8-19(38)32-10-11-58-28(42)16-6-4-5-7-17(16)31-3)13-51-57(48,49)54-56(46,47)50-12-18-22(53-55(43,44)45)21(39)27(52-18)37-15-36-20-24(30)34-14-35-25(20)37/h4-7,14-15,18,21-23,27,31,39-40H,8-13H2,1-3H3,(H,32,38)(H,33,41)(H,46,47)(H,48,49)(H2,30,34,35)(H2,43,44,45)/p-4/t18-,21-,22-,23-,27?/m0/s1
SMILES CNc1ccccc1C(=O)SCCNC(=O)CCNC(=O)C(O)C(C)(C)CO[P@SP2](=O)([O-])O[P@SP3](=O)([O-])OC[C@@H]1O[C@H](n2cnc3c(N)ncnc32)[C@@H](O)[C@H]1O[P@SP3](=O)([O-])[O-]
Start Substs in Alk. Biosynthesis (Prediction)
Organism
Kingdom Family Species Reference
PlantaeRutaceaeRuta graveolens Ref.
zoom in