input word = C00052030

Metabolite InformationStructural formula
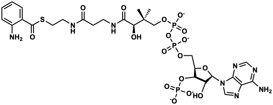
Name Anthraniloyl-CoA
Formula C28H41N8O17P3S
Mw 886.15232215
CAS RN
C_ID C00052030
InChIKey XLURBJBQJZCJHJ-NZKRIJIRSA-J
InChICode InChI=1S/C28H41N8O17P3S/c1-28(2,22(39)25(40)32-8-7-18(37)31-9-10-57-27(41)15-5-3-4-6-16(15)29)12-50-56(47,48)53-55(45,46)49-11-17-21(52-54(42,43)44)20(38)26(51-17)36-14-35-19-23(30)33-13-34-24(19)36/h3-6,13-14,17,20-22,26,38-39H,7-12,29H2,1-2H3,(H,31,37)(H,32,40)(H,45,46)(H,47,48)(H2,30,33,34)(H2,42,43,44)/p-4/t17-,20-,21-,22-,26?/m0/s1
SMILES CC(C)(CO[P@SP2](=O)([O-])O[P@SP3](=O)([O-])OC[C@@H]1O[C@H](n2cnc3c(N)ncnc32)[C@@H](O)[C@H]1O[P@SP3](=O)([O-])[O-])C(O)C(=O)NCCC(=O)NCCSC(=O)c1ccccc1N
Start Substs in Alk. Biosynthesis (Prediction)
Organism
Kingdom Family Species Reference
--- Ref.
zoom in