input word = C00052029

Metabolite InformationStructural formula
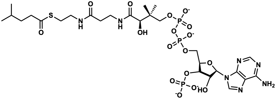
Name 4-Methylpentanoyl-CoA
Formula C27H46N7O17P3S
Mw 865.1883733
CAS RN 89436-24-8
C_ID C00052029
InChIKey GESPQCUXDWNNGU-IPTJXISRSA-J
InChICode InChI=1S/C27H46N7O17P3S/c1-15(2)5-6-18(36)55-10-9-29-17(35)7-8-30-25(39)22(38)27(3,4)12-48-54(45,46)51-53(43,44)47-11-16-21(50-52(40,41)42)20(37)26(49-16)34-14-33-19-23(28)31-13-32-24(19)34/h13-16,20-22,26,37-38H,5-12H2,1-4H3,(H,29,35)(H,30,39)(H,43,44)(H,45,46)(H2,28,31,32)(H2,40,41,42)/p-4/t16-,20-,21-,22-,26?/m0/s1
SMILES CC(C)CCC(=O)SCCNC(=O)CCNC(=O)C(O)C(C)(C)CO[P@SP2](=O)([O-])O[P@SP3](=O)([O-])OC[C@@H]1O[C@H](n2cnc3c(N)ncnc32)[C@@H](O)[C@H]1O[P@SP3](=O)([O-])[O-]
Start Substs in Alk. Biosynthesis (Prediction)
Organism
Kingdom Family Species Reference
--- Ref.
zoom in