input word = C00052026

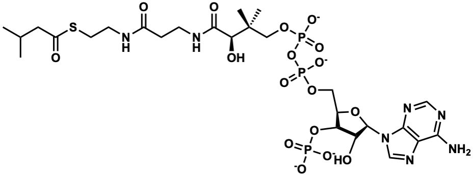
Metabolite InformationStructural formula
Name 3-Methylbutanoyl-CoA
Isovaleryl-CoA
Formula C26H44N7O17P3S
Mw 851.17272323
CAS RN 6244-91-3
C_ID C00052026
InChIKey UYVZIWWBJMYRCD-PZXKJHLISA-J
InChICode InChI=1S/C26H44N7O17P3S/c1-14(2)9-17(35)54-8-7-28-16(34)5-6-29-24(38)21(37)26(3,4)11-47-53(44,45)50-52(42,43)46-10-15-20(49-51(39,40)41)19(36)25(48-15)33-13-32-18-22(27)30-12-31-23(18)33/h12-15,19-21,25,36-37H,5-11H2,1-4H3,(H,28,34)(H,29,38)(H,42,43)(H,44,45)(H2,27,30,31)(H2,39,40,41)/p-4/t15-,19-,20-,21-,25?/m0/s1
SMILES CC(C)CC(=O)SCCNC(=O)CCNC(=O)C(O)C(C)(C)CO[P@SP2](=O)([O-])O[P@SP3](=O)([O-])OC[C@@H]1O[C@H](n2cnc3c(N)ncnc32)[C@@H](O)[C@H]1O[P@SP3](=O)([O-])[O-]
Start Substs in Alk. Biosynthesis (Prediction)
Organism
Kingdom Family Species Reference
BacteriaStaphylococcaceaeStaphylococcus xylosus Ref.
PlantaeCannabaceaeHumulus lupulus Ref.
zoom in