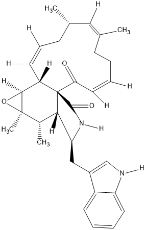
input word = C00051821

Metabolite InformationStructural formula
Name Prochaetoglobosin IV
Formula C32H38N2O3
Mw 498.28824309
CAS RN
C_ID C00051821
InChIKey
InChICode InChI=1S/C32H38N2O3/c1-19-10-5-8-15-27(35)32-24(13-9-11-20(2)16-19)29-31(4,37-29)21(3)28(32)26(34-30(32)36)17-22-18-33-25-14-7-6-12-23(22)25/h6-9,12-16,18,20-21,24,26,28-29,33H,5,10-11,17H2,1-4H3,(H,34,36)/b13-9-,15-8-,19-16-/t20-,21-,24-,26-,28-,29-,31+,32-/m0/s1
SMILES C/C1=C/[C@@H](C)C/C=C[C@H]2[C@@H]3O[C@]3(C)[C@@H](C)[C@H]3[C@H](Cc4c[nH]c5ccccc45)NC(=O)[C@@]32C(=O)/C=CCC1
Start Substs in Alk. Biosynthesis (Prediction)
Organism
Kingdom Family Species Reference
FungiChaetomiaceaeChaetomium globosum Ref.
FungiTrichocomaceaePenicillium expansum Ref.
zoom in