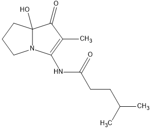
| Name |
Legonmycin B |
| Formula |
C14H22N2O3 |
| Mw |
266.16304258 |
| CAS RN |
|
| C_ID |
C00051751
|
| InChIKey |
|
| InChICode |
InChI=1S/C14H22N2O3/c1-9(2)5-6-11(17)15-13-10(3)12(18)14(19)7-4-8-16(13)14/h9,19H,4-8H2,1-3H3,(H,15,17) |
| SMILES |
CC1=C(NC(=O)CCC(C)C)N2CCCC2(O)C1=O |
| Start Substs in Alk. Biosynthesis (Prediction) |
|
| Organism |
| Kingdom |
Family |
Species |
Reference |
| Bacteria | Streptomycetaceae | Streptomyces sp. MA37 | Ref. |
|
|
zoom in
|