input word = C00051727

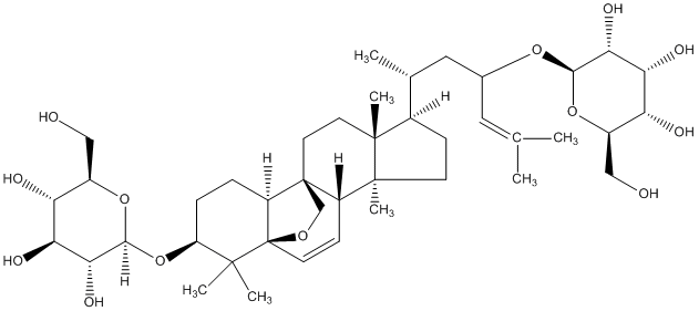
Metabolite InformationStructural formula
Name Goyaglycoside-f
Formula C42H68O13
Mw 780.46599226
CAS RN 333333-13-4
C_ID C00051727
InChIKey ABQUGMVYQWOOLF-BZZCWOHCNA-N
InChICode InChI=1S/C42H68O13/c1-21(2)16-23(52-36-34(49)32(47)30(45)25(18-43)53-36)17-22(3)24-10-12-40(7)27-11-13-42-28(41(27,20-51-42)15-14-39(24,40)6)8-9-29(38(42,4)5)55-37-35(50)33(48)31(46)26(19-44)54-37/h11,13,16,22-37,43-50H,8-10,12,14-15,17-20H2,1-7H3/t22-,23?,24-,25-,26-,27+,28+,29+,30-,31-,32-,33+,34-,35-,36-,37+,39-,40+,41+,42-/m1/s1
SMILES CC(C)=CC(C[C@@H](C)[C@H]1CC[C@@]2(C)[C@@H]3C=C[C@@]45OC[C@]3(CC[C@]12C)[C@@H]4CC[C@H](O[C@@H]1O[C@H](CO)[C@@H](O)[C@H](O)[C@H]1O)C5(C)C)O[C@@H]1O[C@H](CO)[C@@H](O)[C@@H](O)[C@H]1O
Start Substs in Alk. Biosynthesis (Prediction)
Organism
Kingdom Family Species Reference
PlantaeCucurbitaceaeMomordica charantia Ref.
zoom in