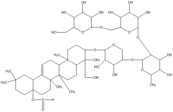
| Name |
Mubenin C |
| Formula |
C53H86O22 |
| Mw |
1074.56107443 |
| CAS RN |
6060-41-9 |
| C_ID |
C00051646
|
| InChIKey |
UVWSULCNJLKZJX-UHFFFAOYNA-N |
| InChICode |
|
| SMILES |
CC1OC(OC2COC(OC3CCC4(C)C(CCC5(C)C4CC=C4C6CC(C)(C)CCC6(OC=O)CCC45C)C3(C)CO)C(O)C2O)C(OC2OC(COC3OC(CO)C(O)C(O)C3O)C(O)C(O)C2O)C(O)C1O |
| Start Substs in Alk. Biosynthesis (Prediction) |
|
| Organism |
| Kingdom |
Family |
Species |
Reference |
| Plantae | Lardizabalaceae | Stauntonia hexaphylla  | Ref. |
|
|
zoom in
|