input word = C00051608

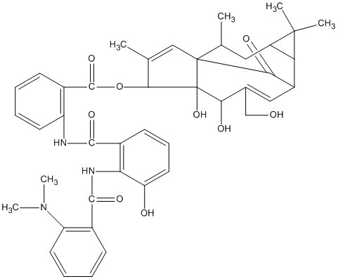
Metabolite InformationStructural formula
Name Milliamine C
Formula C43H47N3O9
Mw 749.33123012
CAS RN 49620-09-9
C_ID C00051608
InChIKey NWUXCAUIAMSMJQ-UHFFFAOYNA-N
InChICode InChI=1S/C43H47N3O9/c1-22-20-42-23(2)18-29-33(41(29,3)4)28(36(42)50)19-24(21-47)35(49)43(42,54)37(22)55-40(53)25-12-7-9-15-30(25)44-39(52)27-14-11-17-32(48)34(27)45-38(51)26-13-8-10-16-31(26)46(5)6/h7-17,19-20,23,28-29,33,35,37,47-49,54H,18,21H2,1-6H3,(H,44,52)(H,45,51)
SMILES CC1=CC23C(=O)C(C=C(CO)C(O)C2(O)C1OC(=O)c1ccccc1NC(=O)c1cccc(O)c1NC(=O)c1ccccc1N(C)C)C1C(CC3C)C1(C)C
Start Substs in Alk. Biosynthesis (Prediction)
Organism
Kingdom Family Species Reference
PlantaeEuphorbiaceaeEuphorbia milii Ref.
zoom in