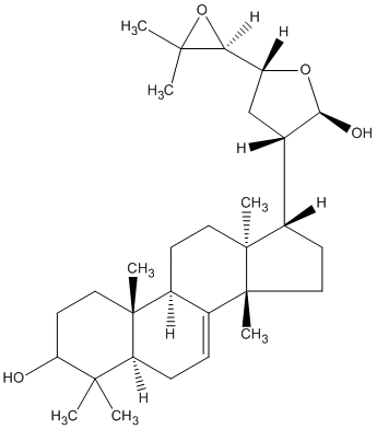
| Name |
Melianol |
| Formula |
C30H48O4 |
| Mw |
472.35526002 |
| CAS RN |
16838-01-0 |
| C_ID |
C00051528
|
| InChIKey |
DABHSVCBZNIZDT-XKWOYKKHNA-N |
| InChICode |
InChI=1S/C30H48O4/c1-26(2)22-9-8-20-19(28(22,5)13-12-23(26)31)11-15-29(6)18(10-14-30(20,29)7)17-16-21(33-25(17)32)24-27(3,4)34-24/h8,17-19,21-25,31-32H,9-16H2,1-7H3/t17-,18-,19-,21+,22-,23-,24-,25+,28+,29-,30+/m0/s1 |
| SMILES |
CC1(C)O[C@H]1[C@H]1C[C@@H]([C@@H]2CC[C@]3(C)C4=CC[C@H]5C(C)(C)C(O)CC[C@]5(C)[C@H]4CC[C@@]23C)[C@H](O)O1 |
| Start Substs in Alk. Biosynthesis (Prediction) |
|
| Organism |
| Kingdom |
Family |
Species |
Reference |
| Plantae | Meliaceae | Melia azedarach  | Ref. |
|
|
zoom in
|