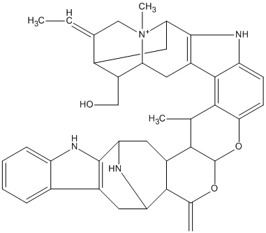
| Name |
Macrospegatrine |
| Formula |
C40H45N4O3 |
| Mw |
629.34916633 |
| CAS RN |
113728-54-4 |
| C_ID |
C00051407
|
| InChIKey |
PYPRVISVQWHLLM-SDPNRITHNA-N |
| InChICode |
InChI=1S/C40H45N4O3/c1-5-20-16-44(4)31-15-25-37-28(43-39(25)32(44)14-22(20)26(31)17-45)10-11-33-35(37)18(2)34-24-13-30-38-23(21-8-6-7-9-27(21)42-38)12-29(41-30)36(24)19(3)46-40(34)47-33/h5-11,18,22,24,26,29-32,34,36,40-43,45H,3,12-17H2,1-2,4H3/q+1 |
| SMILES |
C=C1OC2Oc3ccc4[nH]c5c(c4c3C(C)C2C2CC3NC(Cc4c3[nH]c3ccccc43)C12)CC1C(CO)C2CC5[N+]1(C)C/C2=C/C |
| Start Substs in Alk. Biosynthesis (Prediction) |
|
| Organism |
| Kingdom |
Family |
Species |
Reference |
| Plantae | Apocynaceae | Rauvolfia verticillata var.hainanensis  | Ref. |
|
|
zoom in
|