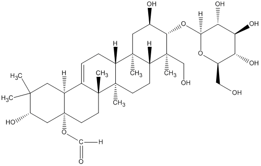
input word = C00051340

Metabolite InformationStructural formula
Name Lucyoside R
Formula C36H58O11
Mw 666.3979127
CAS RN 206270-86-2
C_ID C00051340
InChIKey ANJMWIJBWAPUGX-WTVYTROSNA-N
InChICode InChI=1S/C36H58O11/c1-31(2)13-19-18-7-8-23-32(3)14-20(39)28(47-29-27(43)26(42)25(41)21(16-37)46-29)33(4,17-38)22(32)9-10-35(23,6)34(18,5)11-12-36(19,30(44)45)15-24(31)40/h7,19-29,37-43H,8-17H2,1-6H3,(H,44,45)/t19-,20+,21+,22+,23+,24-,25+,26-,27+,28-,29-,32-,33-,34+,35+,36+/m0/s1
SMILES CC1(C)C[C@H]2C3=CC[C@@H]4[C@@]5(C)C[C@@H](O)[C@H](O[C@@H]6O[C@H](CO)[C@@H](O)[C@H](O)[C@H]6O)[C@@](C)(CO)[C@@H]5CC[C@@]4(C)[C@]3(C)CC[C@@]2(OC=O)C[C@@H]1O
Start Substs in Alk. Biosynthesis (Prediction)
Organism
Kingdom Family Species Reference
PlantaeCucurbitaceaeLuffa cylindrica Ref.
zoom in